추세변동
1) 추세변동
- 시계열자료가 장기적으로 어떤 경향을 나타내고 있는가를 추세(trend)라고 하며 시계열자료가 증가나 감소의 경향이 선형(linear)인지 어떤 함수관계로 나타낼 수 있는지를 찾는 것
- 시계열이 장기간에 걸쳐 점진적으로 상향하거나 하향하는 변화상태를 나타내는 변동
- 예로 국민 총 생산량, 인구, 자동차 보유대수 등..
- 경제정책의 수립이나 제품에 대한 장기저적인 수요의 추세변동을 예측하여 경영계획의 수립을 위해서 필요
2) 추세변동의 형태
- 선형 추세 : 선형함수 : 시간의 변화에 따라 직선으로 증가하거나 감소하는 추세
- 곡선 추세 - 이차 추세 함수 - 지수 추세 함수 : 일정한 성장률로 성장하는 과정을 나타내는 추세
- 곡선 추세 - 이차 추세 함수 - 로지스틱 추세 함수 : 성장한계를 갖고 있는 성장과정을 나타내는 추세
- 곡선 추세 - 역추세 함수 : 상승 추세 후 일시적 상승 추세의 급락으로 상승 추세의 평균 회귀 성장과정을 나타내는

- (a)는 시간에 따라 변화에 따라 직선으로 증가하는 시계열의 형태이다.
- (b)는 시계열의 값들이 초기에는 급격히 작아지다가 차차 점진적으로 작아지는 형태이다.
- (e)는 초기에는 서서히 증가하다가, 일정 시점 이후에는 성장의 속도가 빠르게 되고 다시 성장이 둔화하는 모습을 나타내는 형태이다.
- 이 밖에도 ..

3) 선형추세와 비선형추세
선형추세
- 선형추세는 시계열자료의 가장 기본적인 추세이며 많은 시계열자료들이 복잡한 형태로 변화한다고 할지라도, 장기적으로는 대강(roughly) 선형으로 증가하거나 감소하는 경향이 있다고 할 수 있을 것이다.
- 경우에 따라 시계열자료가 비선형추세를 가지고 있다고 할지라도 비선형의 관계를 선형으로 전환시켜 알아본 후, 비선형의 추세의 관계식으 구하기 때문에 선형추세를 알아보는 것은 중요한 일이다.
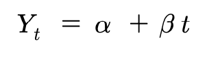
- 시간의 흐름에 따라 일정한 비유롤 증가하는 선형의 시계열자료 패턴은 Yt와 t가 선형 관계에 있음을 뜻한다.

- 실제로 시간에 따른 시계열들이 있을 경우, 즉 (Yt, t)에 대한 자료가 n개 있을 경우 회귀분석의 최소제곱법(Least Squares Method)에 따라 기울기 β와 절편 α의 값을 구할 수 있다.
비선형추세
- 비선형추세는 일단 선형추세의 관계로 전환시켜야 한다. 시계열자료(Yt)가 시점이 변함에 따라 직선의 관계에 있지 않고 지수곡선추세, 역추세, 로지스틱 곡선추세, S-모형, 성장모형 등의 관계식으로 표현될 수 있는데 이 관계식들을 앞에서 설정한 대수(log)를 취함으로써 선형의 관계로 바뀌어진다
=> 즉, 일단 선형의 관계로 전환시킨 다음에 최소제곱법을 적용하여 파라미터들을 추정하는 것이다.
시계열의 차분
1) 시계열의 추세 패턴을 찾기 위해서는 시계열자료의 순차도표를 구한 후 그래프 상에서 나타난 추세를 적당한 모형식에 적용시키는 것이 가장 일반적인 방법이지만, 순차도표로부터 앞에서 설명한 선형이나 비선형의 함수관계를 찾는다는 것 자체가 쉬운 일이 아니다.
2) 주어진 시계열자료가 선형의 추세를 가지고 있는지를 확인할 수 있는 시계열자료의 차분(differenceing)이며, 시계열자료를 차분한다는 것은 현시점의 자료에서 바로 이전시점의 자료를 빼는 것을 의미한다.

=> 이 차분된 값들이 대체로 일정한 값이라면 시계열 Yt는 선형의 추세를 갖는다고 판단할 수 있다.
3) 만약 1차 차분한 것을 다시 차분(2차차분)한 경우에 일정한 값들이 보인다면 그 시계열자료는 2차식의 포물선 추세를 갖는 다고 판단할 수 있다. 즉, 2차 차분한 값이 대체로 일정한 값을 가지면 시계열 Yt는 2차식의 포물선 추세를 갖는 시계열자료라는 것이다.

1) 어떤 시계열은 대수를 취한 값(log Yt)의 1차 차분이 일정한 값을 갖는 경우도 있는데 이런 경우 성장곡선의 패턴을 갖는 시계열이라고 판단할 수 있다.

=> 성장곡선의 패턴을 갖는 시계열 자료의 예이다. 원 시계열자료를 차분했을 경우 1차 차분된 값들이 일정하지 않고, 2차차분을 하여도 2차 차분된 값들이 일정하지 않을 수 있다. 이 때, log를 취한 후 1차 차분을 하면 그 결과가 일정한 값(0.1)이 나오는 것을 확인할 수 있다. 이러한 비선형의 추세의 하나인 식 성장모형으로 시계열자료를 접근하게 되는 것이다.
=> 추세가 없는 시계열자료는 거의 없기 때문에 추세를 찾고 그 추세를 제거시킴으로써 정상적 시계열을 만든 후, 정상적 시계열에 대해 분서을 하게 되는 것이 시계열 자료분석의 기본이다. 따라서 대부분의 시꼐열자료에 대해서는 항상 차분을 고려해야한다.
순환변동
1) 순환변동(cyclical fluctuation)은 추세변동을 제거시킨 시계열로부터 찾아낼 수 있는데, 순환변동은 비교적 장기간의 시계열자료일 경우 일정한 주기를 갖기는 않더라도(주로 1년 이상의 사이클을 가짐) 침체기와 활황기가 반복적으로 나타나는 일종의 경기변동을 말한다.
2) 순환변동을 알아내는 것은 쉬운 일이 아니고 순환변동을 고려할 수 없는 시계열자료도 많이 있다고 할 것이다.
3) 예시


- 예를 들어 위 표와 같이 1970년부터 1987년까지의 승용차 판매대수에 대한 시계열 자료가 있다고 하면, 시계열에 대해 추세변동을 나타내는 추세선은 위 그림과 같다.
- 우선 시계열 Yt에 대한 선형 추세선은 Y(trend) = 89.521 + 4.234t 로 얻어지고, 시점에 따른 추세선의 값들 Y(trend)은 밑에 표처럼 나타나 있다. 여기서 시점을 나타내는 t는 1970년을 1, 1971년을 2, ... 등으로 값을 부여한 것이다.
- 아래 식을 통해서 순환변동지수를 계산한다. 1973년 ~ 1976년과 1979년 ~ 1983년 동안에는 순환변동지수가 100이하로서 침레를 나타내고 있다.

- 또한 순환변동지수를 아래식으로도 나타낼 수도 있는데, 이는 추세를 제거시킨 자료(=잔차), ( Y(t) - Y(trend) ) 를 추세값으로 나눈 것으로서 상대적 순환잔차 (relative cyclical residual)이라고 한다.

- 표에서 제 5열에서 (-)값들은 침체에 의해 추세값보다 작은 시계열(Yt) 값이 얻어짐을 나타내고 있다.
계절변동
1) 계절변동이란 1년 이내의 주기를 갖고 반복적으로 나타나는 변동을 말한다.
2) 주기는 1일, 1주, 1년 등이 될 수 있으며 시계열자료가 주기마다 반복적으로 비슷한 형태의 패턴을 보일 경우 계절변동을 갖고 있다고 할 수 있다.
3) 많은 시계열자료에서 추세변동 다음으로 뚜렷하게 나타나는 것이 계절변동이다. 따라서 시계열자료에 포함되어 있는 계절변동을 찾아내 원시계열자료에서 계절성을 제거할 때 예측모형의 큰 틀이 짜여지고 정확한 예측을 할 수 있다.
4) 예시

- 위의 순차도표는 어느 지역의 1980년부터 1987년까지의 분기별 신축주택수에 대한 시계열자료이다. 이 시계열자료의 순차도표를 보면 신축주택수의 시계열자료는 추세가 거의 없으며 진폭(fluctuation)이 일정하지는 않지만 주기가 4인 계절성을 가지고 있음을 알 수 있다.


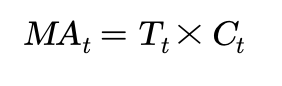
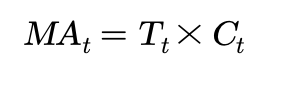
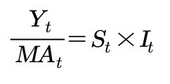
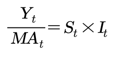
- 먼저 이 자료에 대해서 주기가 4인 이동평균을 구한다. MA(4)를 구하면 이동평균 시계열은 계절적 요소들과 불규칙 요소들이 평균을 구하는 과정에서 제거되는 효과가 있어 다음 식과 같이 표현된다.

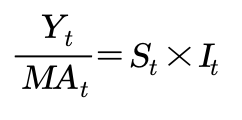
- 따라서 시계열자료를 이동평균 MAt로 나누면 계절변동과 불규칙변동만 남게된다.

- 불규칙성분변동과 계절변동이 함계 들어 있기 때문에 , 제 1분기부터 제 4분기의 분기별 계절지수를 구한다.
=> 계절변동은 분기별로 평균을 얻음으로써 불규칙요소들을 제거시킬 수 있다. 또한 불규칙변동을 확실하게 제거하기 위해 절삭평균의 방법으로 평균을 얻는다. 즉, 각 분기의 값들 중에서 최솟값과 최댓값을 제거한 후 평균을 내는 것이다. 또한 계절지수는 100을 기준으로 하여야 하므로 수정이 필요하다.
=> 즉, 분기별 절삭평균의 합계가 404.73이 되기 때문에 절삭평균들의 합계가 400이 되도록 하기 위하여 각 분기별 절삭평균에 400 / 404.73를 곱하여 수정계절지수를 얻는 것이다.

=> 예를 들어 제 1분기의 계쩔지수가 92.72라는 의미는 제 1분기에는 평균보다 0.9272만큼 낮은 값을 갖는다는 의미이다.
- 계절성이 제거된 시계열자료는 원시계열자료를 위에서 구한 분기별 계절지수로 나눈 값이 된다.

'통계공부 > 시계열분석' 카테고리의 다른 글
| Box-Jenkins 모형 (2) - 정상적 시계열에 대한 Box-Jenkins 모형 (0) | 2021.06.08 |
|---|---|
| Box-Jenkins 모형 (1) (0) | 2021.04.16 |
| 시계열 요소분해법 (1) (0) | 2021.04.15 |
| 평활법 - 지수평활방법 (0) | 2021.04.15 |
| 평활법 - 이동평균방법 (0) | 2021.04.14 |