MA모형, AR모형, ARMA모형의 ACF와 PACF
후진연산자

이러한 후진연산자를 통해 모형을 좀 더 간결하고 효과적으로 표현한다. 또한 이러한 표현은 앞으로 계절성과 비정상적 시계열을 나타내는 데에 절대적으로 필요하며, 시계열분석에서 파라메터(모수) 값에 대한 제약조건을 나타내는데도 필요하다.
MA 모형
(1) MA(1) 모형

MA(1) 모형의 ACF와 PACF 형태는 다음과 같다.

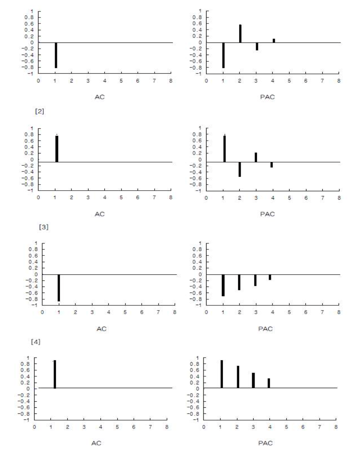
(2) MA(2) 모형

* MA(2) 모형의 ACF와 PACF의 형태
-> 시차 1,2 에서만 ACF가 뚜렷하게 나타나며(spike), 그 이상들의 시차들에서는 ACF가 절단된 형태를 보일 것이다. 또한 PACF 에서는 시차자 점점 증가함에 따라 지수적으로 감소하거나, 부호를 바꿔가면서 감소, 또는 sine형태로 감소하는 형태를 보일 것이다.

(3) MA(q) 모형

* MA(q) 모형의 특징
1) 자기상관함수는 시차가 q+1 이후에는 0으로 절단
2) 편자기상관함수는 지수곡선 혹은 sine 곡선의 형태를 그리며 시차 k가 커짐에 따라 급속히 감소
3) MA모형은 시계열자료의 ACF가 돌출적인 값들을(spikes) 갖고 PACF는 순차적으로 시나브로 작아지는(decay)모습을 나타내는데, 유의적인 ACF의 spike의 수로 MA모형의 차수를 결정
AR 모형
(1) AR(1) 모형

* AR(1) 모형의 ACF와 PACF의 예
-> AR(1) 모형의 PACF는 시차가 1에서만 존재하며, MA(1) 모형에 대한 ACF가 시차 1에서만 구해지는 것과 흡사하다.

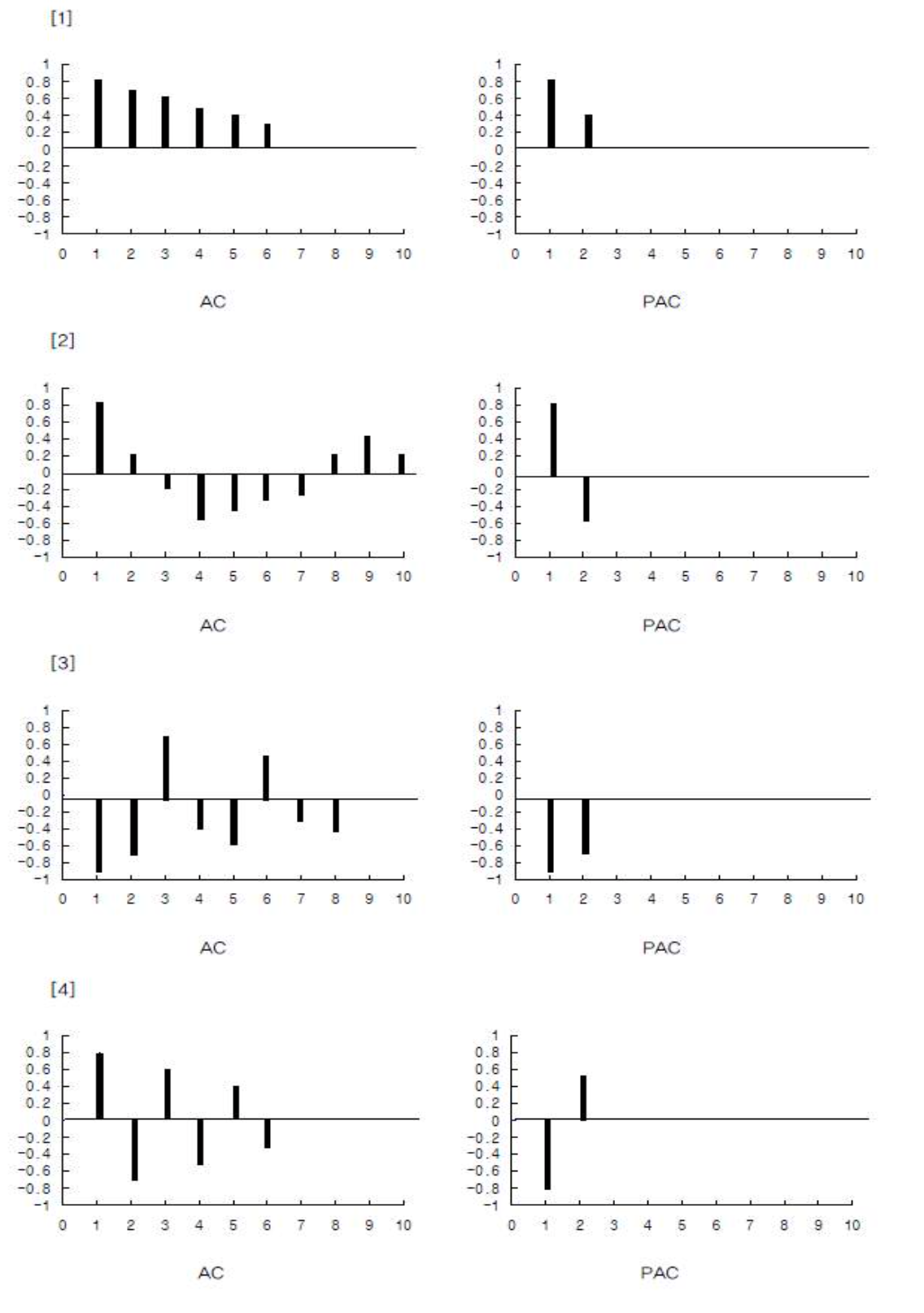
(2) AR(2) 모형

* AR(2) 모형의 ACF와 PACF의 예
-> AR(2) 모형의 PACF는 시차가 1, 2에서만 존재하고 ACF는 점차(빠르게) 작아지는 형태로 보인다.

(3) AR(p) 모형
- p차 자기 모형 AR(p) 모형은

- AR(p)모형의 자기상관함수(ACF)는 시차가 커짐에 따라 지수적으로 감소하거나 또는 진폭이 점점 작아지는 sine곡선의 형태를 그리며 감소한다.
- AR(p)모형의 편자기상관함수(PACF)는 시차가 p+1 이상인 경우부터 0의 값을 가지는 절단형태를 보인다.
** AR(p) 모형의 특징
1) 자기상관함수는 지수곡선 또는 sine 곡선의 형태를 그리며 시차 k가 커짐에 따라 급속히 감소
2) 편자기상관함수는 시차 p까지 유의한 값을 보이며, p+1이후 시차에서는 0의 값
3) AR모형은 MA모형과 달리, 주어진 시계열자료의 PACF가 돌출적인 값들을 갖고 ACF는 순차적으로 작아지는 모습을 나타내며 AR모형으로 판단되면 유의적인 PACF의 spike의 수로 차수를 결정
ARMA 모형
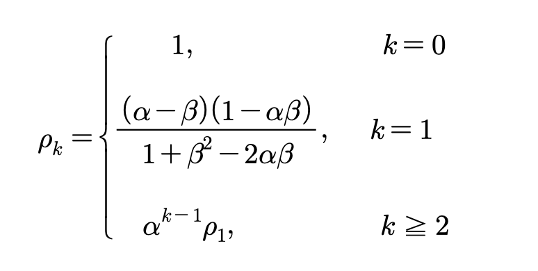
(1) ARMA(1, 1) 모형
- ARMA(1, 1)모형의 모형식

- ARMA(1, 1)모형의 자기상관함수

1) AR(1) 모형과 MA(1)모형의 자기상관함수를 결합한 형태
2) 시차1의 자기상관함수에는 MA(1)모형의 모수 β가 포함
3) 시차2의 AR(1)모형과 같은 지수적으로 감소하는 형태
- ARMA(1, 1)모형의 편자기상관함수
1) ARMA(1, 1)모형의 편자기상관함수의 일반적인 형태는 매우 복잡하고 다양한 형태
2) ARMA(1, 1)모형은 AR(1)과 MA(1)을 포함하기 때문에 ARMA(1, 1)의 편자기상관함수는 α, β의 크기에 의존
3) 시차2부터 MA(1) 모형의 편자기 상관함수와 같이 지수적으로 감소하거나 부호가 바뀌면서 감소하는 형태
** ARMA(1, 1)의 특징
1) 자기상관함수와 편자기상관함수 모두 서서히 감소하는 형태
2) ARMA모형의 자기상관함수와 편자기상관함수는 서로 상반된 형태를 보이는 AR모형과 MA모형의 자기상관함수와 편자기상관함수가 결합되어 특정한 시차에서 절단되는 모습 없이 감소하는 형태
3) ARMA모형의 차수결정을 위해서 자기상관함수와 편자기상관함수의 형태만을 이용할 때는 주의가 필요
* ARMA(1, 1)의 모형의 ACF, PACF의 예

2) ARMA(p, q) 모형
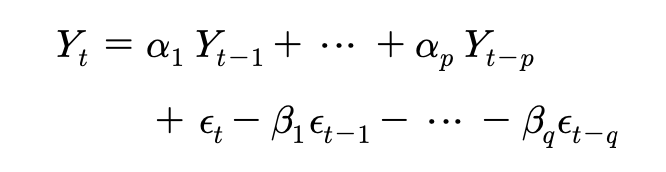
- ARMA(p, q)모형의 모형식

- ARMA(p, q)모형의 자기상관함수

- ARMA(p, q)모형의 대표적인 모형

- ARMA(p, q)의 자기상관함수(ACF)는 시차 (q-p)이후에는 지수적으로 감소하거나 소멸하는 sine곡선의형태
- ARMA(p, q)의 편자기상관함수(PACF)는 시차 k > p - q에 대하여 MA(q)모형의 편자기상관함수와 비슷한 형태를 보이지만,
시차 k <= p-q 에서는 일정한 형태가 없이 변함
3) AR(p), MA(q), ARMA(p, q)모형의 ACF와 PACF의 이론적인 특성
1) ACF(자기상관함수)
- AR(p): 지수적으로 감소하거나 소멸하는 sine 곡선의 형태를 그리며 시차 k가 커짐에 따라서 급속히 감소하는 형태
- MA(q): 자기상관함수는 시차가 q이후에 0으로 절단된 형태
- ARMA(p, q): 시차(q-p) 이후에는 지수적으로 감소하거나 소멸하는 sine곡선의 형태
2) PACF(편자기상관함수)
- AR(p): 시차 p까지는 유의한 값을 보이며 p이후 시차에는 0의 값을 갖는 절단된 형태
- MA(q): 지수적으로 감소하거나 sine곡선의 형태를 그리며 시차 k가 커짐에 따라 급속히 감소하는 형태
- ARMA(p, q): 시차 (p-q)이후에는 지수적으로 감소하거나 소멸하는 sine곡선의 형태
3) AR과 MA모형의 혼합 형태인 ARMA 모형에 대해서는 자기상관계수(ACF)나 부분자기상관계수(PACF) 모두 점진적으로 작아지는 형태를 갖으며, AR모형도 아니고 MA모형도 아닐 때는 ARMA모형으로 식별할 수 밖에 없다. 또한 ARMA 모형은 차수는 (2, 2)을 넘지 않기 때문에 차수가 (1, 1), (1, 2), (2, 1), (2, 2) 중에 하나라고 식별하면 될 것이다.
'통계공부 > 시계열분석' 카테고리의 다른 글
| Box-Jenkins 모형 (5) - 비정상적 시계열, ARIMA모형 (0) | 2021.06.08 |
|---|---|
| Box-Jenkins 모형 (4) - 시계열의 모형구축 (0) | 2021.06.08 |
| Box-Jenkins 모형 (2) - 정상적 시계열에 대한 Box-Jenkins 모형 (0) | 2021.06.08 |
| Box-Jenkins 모형 (1) (0) | 2021.04.16 |
| 시계열 요소분해법 (2) (0) | 2021.04.16 |