비정상적 시계열
시계열의 정상화
실제로 관측되는 대부분의 시계열 자료는 정상성을 가지지 못하는 경우가 많으며, 대부분의 시계열은 비정상적 시계열이다.
(1) 비정상 시계열의 대표적인 특성
- 시간의 흐름에 따라 시계열의 평균수준이 다르다.
- 시간의 흐름에 따라 시계열의 추세를 가진다.
- 시간의 흐름에 따라 시계열의 계절성을 보인다.
- 시간이 흐름에 따라 시계열의 분산이 증가하거나 감소한다.
(2) 비정상성의 중요한 요인의 추세
- 결정적추세(deterministic trend) : 시간의 흐름에 따라 추세가 변하지 않고 일정하게 계속되는 것으로 차분을 통해서 추세를 제거하는 것보다 추세요인을 모형에 포함시켜 추세성분을 추정하고 예측에 사용
- 확률적추세(stochastic trend) : 인접 자료들간에 강한 양의 상관관계 때문에 어떤 추세가 있는 것처럼 보이는 경우가 있는데 이러한 추세를 확률적추세라고 하며, 자기상관함수가 모든 시차에서 완만하게 감소하는 모습을 보이며 이것을 차분을 통해 제거함
(3) 관측된 시계열이 정상 시계열인지 비정상시계열인지 판단하는 방법
- 시계열 {Yt}의 시계열 도표를 통해서 파악하며, 만일 시계열 도표가 추세가 있거나 분산이 변화하고 있음을 보여준다면 시계열은 비정상적 시계열로 판단
- 자기상관함수를 통해서 비정상성의 유-무를 파악하며, 자기상관함수가 지속적으로 감소하지 않고 모든 시차에서 상당히 완만하게 감소하는 모습을 보인다면 이러한 시계열은 비정상 시계열일 가능성이 높음
- 시계열자료의 분석과 관련된 대부분의 이론들이 정상성을 가정하고 있으므로 시계열의 비정상성을 보이는 경우에는 로그변환 또는 차분 등의 적절한 방법에 의하여 시계열이 정상이 되도록 한 후에 정상시계열 분석 이론을 적용시켜야 함
(4) 정상시계열로 변환방법
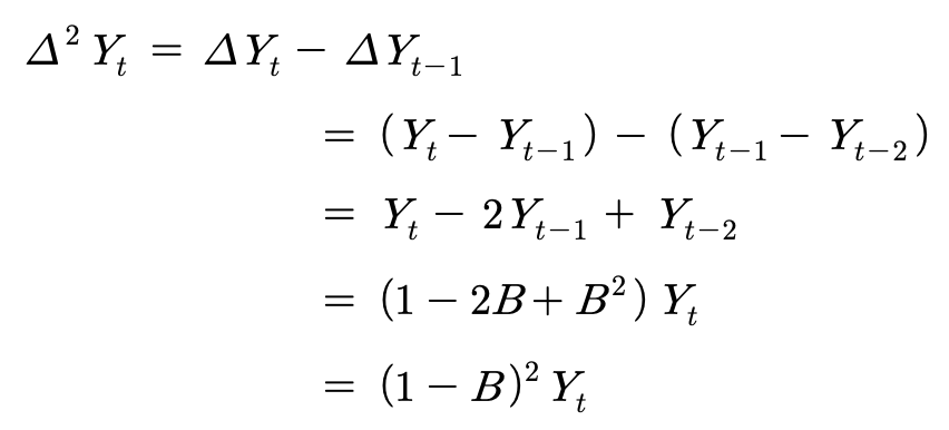
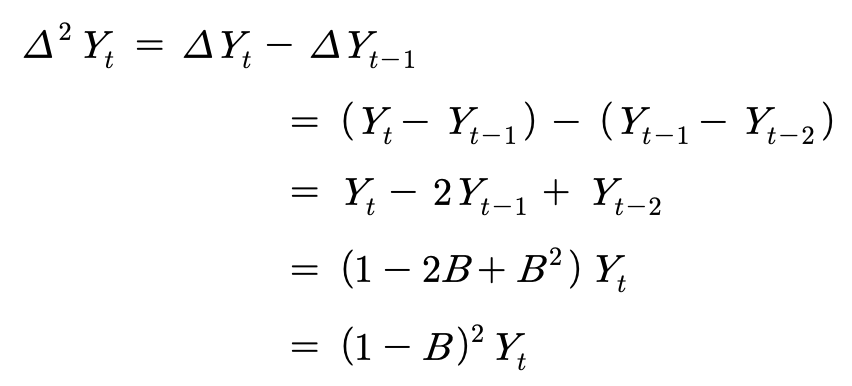
1) 차분 : 시간의 흐름에 따라 추세의 형태가 변화하는 확률적 추세를 갖는 비정상시계열 {Yt}를 연속적으로 차분하여 평균이 일정한 정상시계열을 얻는 방법이며, 모형의 식별은 정상적 시계열에 대해서만 가능하기 때문에 분석하고자 하는 시계열 자료가 비정상적 시계열일 경우 그 자료를 우선 정상적 시계열로 전환시켜 놓아야 한다. 비정상적 시계열을 정상적 시계열로 전환시킬 방법중에 차분이 있다.
- 1차 차분

1차 차분된 결과가 정상적 시계열이 아니라면 차분을 다시 한번 하는 2차 차분을 수행한다.
- 2차 차분

- 대개의 많은 비정상적 시계열자료들은 1차 차분 또는 2차 차분으로 정상적 시계열이 되는데, 2차 차분으로도 정상적 시계열이 되지 않은 경우라면 Yt를 변환시켜 다른 함수로 바꾼 후에 차분을 하는 것이 필요하다
2) 분산안정화변환 : 비정상적 시계열에 대해서 로그변환, 루트변환, 멱급수변환과 같은 변수변환을 통해서 시점에 관계없이 분산이 동일한 시계열을 얻을 수 있다. 이러한 분산안정화 변수변환은 양의 값을 갖는 시계열에만 적용되며, 다른 어떤 변환에 앞서 가장 우선적으로 실시하는 것이 바람직하다. 대부분 경제 관련 자료들의 경우에는 로그변환을 사용한다.
3) 변환의 예시

-> 성장곡선의 시계열자료의 경우 1차 차분과 2차차분을 수행해도 값들이 계속 증가하기 떄문에 정상적이지 못하다. 이 경우, 시계열자료에 log 변환을 취한 후 차분을 하면 정상적 시계열이 된다.
* 대수(logarithm)를 취하는 이유는 대개의 시계열자료들이 시점이 변함에 따라 증가를 하다가 일정한 시점 이후부터는 급격하게 증가하는 형태를 갖기 때문이며, 여기서 대수는 자연대수를 말한다.
(5) 시계열자료분석 절차
- 시계열자료를 분석하는데 당면하는 많은 자료들은 비정상적 시계열자료이며 비정상적 자료를 일단 차분 등을 통하여 정상적 시계열로 전환시켜야 하기 때문에 비정상적시계열을 ARIMA(p, d, q) 모형으로 표현
- 여기서 p는 자기회귀모형 부분의 차수, d는 차분한 차수, q는 이동평균모형 부분의 차수를 나타냄
- 예를 들어 AR(1)모형은 ARIMA(1, 0, 0) 모형으로 표현되는 것이며 또한 ARMA(1, 1)모형은 ARIMA(1, 0, 1) 모형으로 표현 가능
비정상시계열모형
(1) IMA(1, 1)모형
- 비정상 시계열을 1차 차분하여 정상시계열로 변환 후 설정된 모형이 MA(1)인 경우로 ARIMA(p, d, q)모형에서 p=0, d=1, q=1인 ARIMA(0, 1, 1)모형이다.
- IMA(1, 1) = ARIMA(0, 1, 1)의 모형식

- IMA(1, 1)모형의 자기상관함수와 편자기상관함수
- 원시계열 Yt의 자기상관함수는 지수적으로 감소하지 않고, 전 시차에 걸쳐 완만하게 감소
- 1차 차분한 시계열 (1-B)Yt의 자기상관함수는 시차 1에서 유의한 값을 보이고 그 이후의 시차에서는 신뢰한계내에 들어오는 절단된 모습
- 1차 차분한 시계열 (1-B)Yt의 편자기상관함수는 지수적으로 감소하는 MA(1) 모형의 형태
- 자기상관함수와 편자기상관함수의 형태가 MA(1)모형의 자기상관함수의 편자기상관함수의 형태와 동일하므로, 1차 차분하여 정상화된 시계열의 모형은 MA(1)모형을 따름
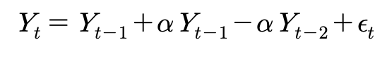
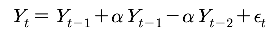
(2) ARI(1, 1)모형
- 비정상 시계열을 1차 차분하여 정상시계열로 변환 후 설정된 모형이 AR(1)인 경우로 ARIMA(p, d, q)모형에서 p=1, d=1, q=0인 ARIMA(1, 1, 0)모형이다.
- ARI(1, 1) = ARIMA(1, 1, 0) 모형식


- ARI(1, 1)모형의 자기상관함수와 편자기상관함수의 형태
- 원시계열 Yt의 자기상관함수가 지수적으로 감소하지 않고, 전 시차에 걸쳐 완만하게 감소
- 1차 차분한 시계열 (1-B)Yt의 자기 상관함수는 지수적으로 감소하는 AR(1) 모형의 형태
- 1차 차분한 시계열 (1-B)Yt의 편자기상관함수는 시차 1에서 유의한 값을 보이고 그 이후의 시차에서는 신뢰한계 내에 들어오는 절단된 모습
- 자기상관함수와 편자기상관함수의 형태가 AR(1) 모형의 자기상관함수와 편자기상관함수의 형태와 동일하므로, 1차 차분하여 정상화된 시계열의 모형은 AR(1)모형을 따름
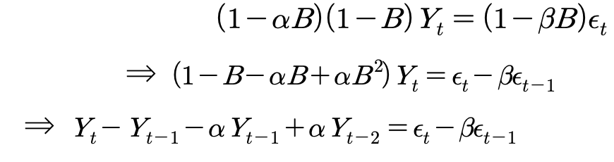
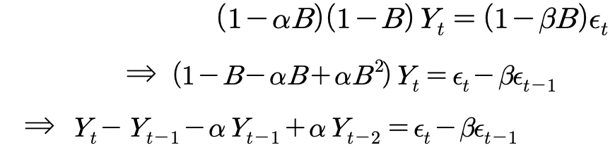
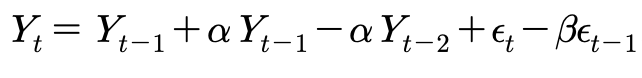
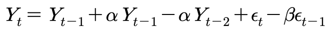
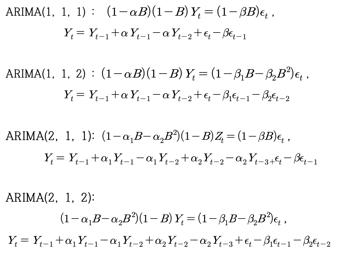
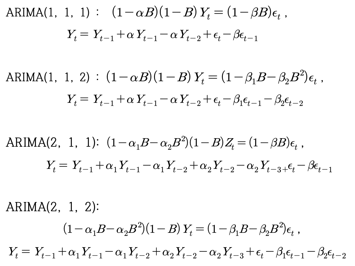
(3) ARIMA(1, 1, 1)모형
- 비정상 시계열을 1차 차분하여 정상시계열로 변환 후 설정된 모형이 ARMA모형인 경우로 ARIMA(p, d, q)모형에서 p=1, d=1, q=1인 ARIMA(1, 1, 1)모형이다.
- ARIMA(1, 1, 1)의 모형식


- ARIMA(1, 1, 1)모형의 자기상관함수와 편자기상관함수의 형태
- 원시계열 Yt의 자기상관함수는 지수적으로 감소하지 않고 전 시차에 걸쳐 완만하게 감소
- 1차 차분한 시계열 (1-B)Yt의 자기 상관함수와 편자기상관함수는 모두 시차 1이후부터 지수적으로 감소하거나 또는 부호를 바꾸며 감소
- 자기상관함수와 편자기상관함수의 형태가 ARMA(1, 1)모형의 자기상관함수와 편자기상관함수의 형태와 동일하므로 1차 차분하여 정상화된 시계열의 모형은 ARMA(1, 1)모형을 따른다고 할 수 있다.
- 일반적으로 ARIMA(p, d, q)모형의 p, d, q의 차수는 2를 넘지 않는다.
(4) 가장 많이 고려되는 ARIMA(p, d, q) 모형의 모형식들

'통계공부 > 시계열분석' 카테고리의 다른 글
| 비정상적계절시계열모형(2) - 혼합계절시계열 (0) | 2021.06.08 |
|---|---|
| 비정상적계절시계열모형(1) - 순수계절시계열 (0) | 2021.06.08 |
| Box-Jenkins 모형 (4) - 시계열의 모형구축 (0) | 2021.06.08 |
| Box-Jenkins 모형 (3) - MA모형, AR모형, ARMA모형 (0) | 2021.06.08 |
| Box-Jenkins 모형 (2) - 정상적 시계열에 대한 Box-Jenkins 모형 (0) | 2021.06.08 |